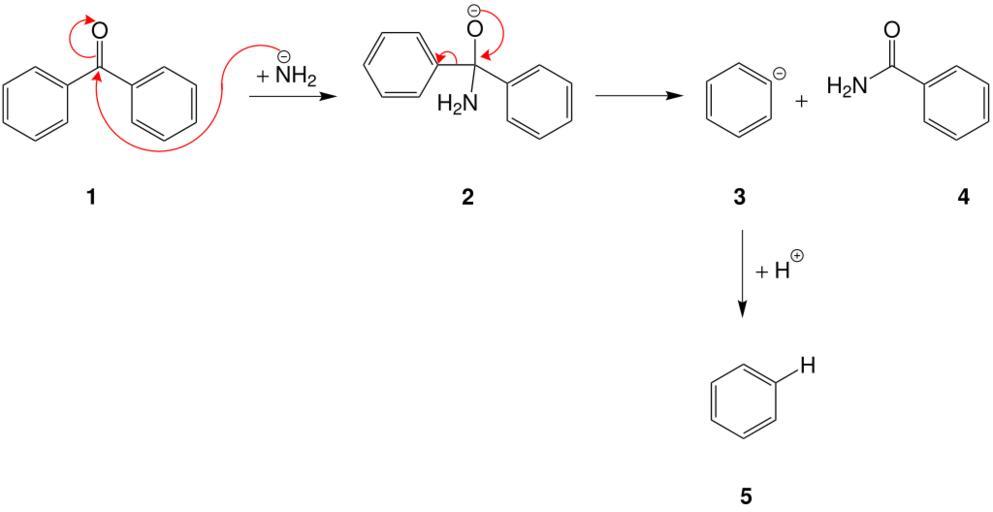
MAKE A MEME View Large Image ...Bauer reaction mechanism V2-Seite001.svg en mechanism of the Haller-Bauer reaction de Mechanismus der Haller-Bauer-Reaktion own бе еста 2014-02-17 Organic reactions Cc-zero
View Original:Haller-Bauer reaction mechanism V2-Seite001.svg (801x413)
Download: Original    Medium    Small Thumb
Courtesy of:commons.wikimedia.org More Like This
Keywords: Haller-Bauer reaction mechanism V2-Seite001.svg en mechanism of the Haller-Bauer reaction de Mechanismus der Haller-Bauer-Reaktion own бе еста 2014-02-17 Organic reactions Cc-zero
Terms of Use   Search of the Day