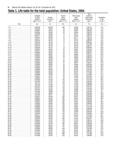
MAKE A MEME View Large Image Nvsr56 09 pg8.svg en Life Table Total Population US 2004 2004 Natl Ctr Health Statistics Nvsr56_09 pg8 US Govt NCHS 2007-12-29 US Govt Publication PD-USGov Tables information
View Original:Nvsr56_09_pg8.svg (765x990)
Download: Original    Medium    Small Thumb
Courtesy of:commons.wikimedia.org More Like This
Keywords: Nvsr56 09 pg8.svg en Life Table Total Population US 2004 2004 Natl Ctr Health Statistics Nvsr56_09 pg8 US Govt NCHS 2007-12-29 US Govt Publication PD-USGov Tables information
Terms of Use   Search of the Day