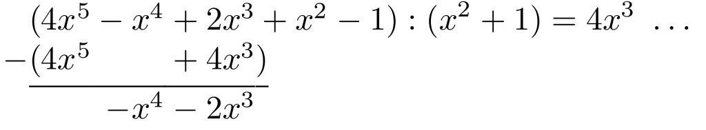
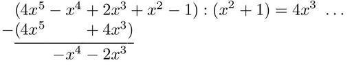
MAKE A MEME View Large Image Polynomdivision 3 Anfang.svg polynomial long division example 3 partial version own work numbers taken from de Polynomdivision 07/03/06 w de Benutzer Gunther Polynomial division
View Original:Polynomdivision 3 Anfang.svg (10x1)
Download: Original    Medium    Small Thumb
Courtesy of:commons.wikimedia.org More Like This
Keywords: Polynomdivision 3 Anfang.svg polynomial long division example 3 partial version own work numbers taken from de Polynomdivision 07/03/06 w de Benutzer Gunther Polynomial division
Terms of Use   Search of the Day