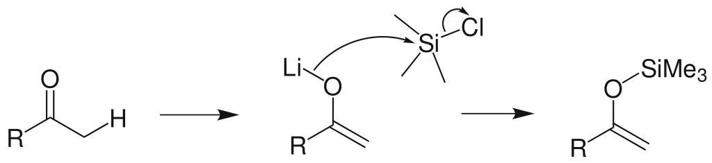
MAKE A MEME View Large Image SilylEnolEtherSynthesisMechanism2.svg en mechanism for the formation of silyl enol ether from lithium enolate own Choij 2009-08-01 Silyl enol ethers
View Original:SilylEnolEtherSynthesisMechanism2.svg (287x66)
Download: Original    Medium    Small Thumb
Courtesy of:commons.wikimedia.org More Like This
Keywords: SilylEnolEtherSynthesisMechanism2.svg en mechanism for the formation of silyl enol ether from lithium enolate own Choij 2009-08-01 Silyl enol ethers
Terms of Use   Search of the Day