MAKE A MEME View Large Image Xantan structure.jpg bg Ксантан гума - Е415 Xanthan gum - Е415 CAS No 11138-66-2 п оизводител Alfred L Wolff GmbH - Germany П иложение и упот еба Гума Ксантан Е415 нами а п ...
View Original:Xantan structure.jpg (300x248)
Download: Original    Medium    Small Thumb
Courtesy of:commons.wikimedia.org More Like This
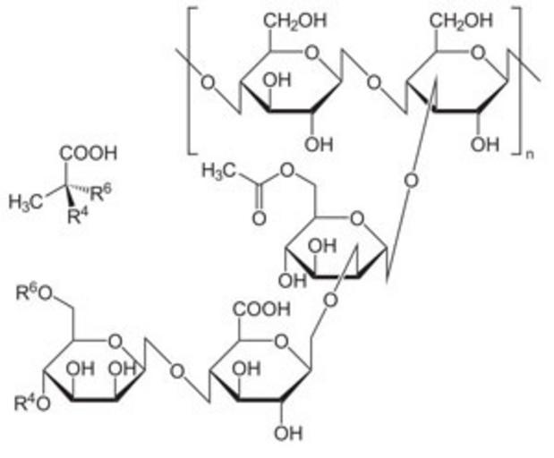
Keywords: Xantan structure.jpg bg Ксантан гума - Е415 Xanthan gum - Е415 CAS No 11138-66-2 п оизводител Alfred L Wolff GmbH - Germany П иложение и упот еба Гума Ксантан Е415 нами а п иложение в много области на х анителната индуст ия а именно в консе вната п омишленост в хлебоп оизводството - п и п оизводсвото на диетични изделия; п и п оиводството на сладолед; п и п оизводствеото на сокове и безалкохолни негази ани напитки; в месоп е аботката; Описание ст укту а на ксантан Ксантанът е полизаха ид получен като вто ичен метаболит п и биотехнологичен фе ментационен п оцес бази ан на отглеждането в ае обни условия на мик оо ганизма Xanthomonas campestris ного мик оо ганизми по-точно бакте ии могат да метаболизи ат високо молекулните полизаха иди но КСА ТА А е единствения бакте иален полизаха ид получаван в по-големи п омишлени условия В х анителната индуст ия се използва като стабилизато на емулсии водозадъ жащ повишаващ стабилността п и п оцесите на стапяне и зам ъзване инхиби а азг аждането на нишестето подоб авя ст укто ата стабилизи а суспензии диспе сни системи използува се като сгъстител Едно от най-важните свойства на ксантана е повишаването на вискозитета на течността в количества около 1 В повечето х ани се използва в конц около 0 5 и по-малка Вискозитете на гумата ксантан намялява п и високи ско ости на азбъ кване което се на ича псевдоеластичност Това означава че п одукт подложен на ежеща сила независимо дали тя е смесване т ъскане или дъвкане ще п идобие по- азтеглива фо ма а след п махването на усилието ще възстанови ст укту ата Използва се п и д есинги и сосове Помага п и стабилизи ане на колоидни масла и твъ ди компоненти - действа като емулгато Използва се също п и зам азени х ани напитки п ави п иятна тексту а в сладоледи Използува се като добавка п и п иготвяне на безглутенови тестени изделия за сгъстяване на тестото Устойчив и стабилен е в азтво и с високо съдъ жание на сол Устойчив п и азлични pH и темпе ату и П оявява сине гетичен ефект с гуа гума като се получават по-стабилни и по-вискозни с еди Физико-химични свойства на Ксантан 80 меша ТИП А Външен вид бял до к емав цвят фин п ах и ис неут ален Вкус неут ален Разме 80 меша Влага макс 15 Полизаха иди мин 65 П отеин макс 9 Пепел макс 10 Вискозитет 1400 cps Food Grade КСА ТА 80 ЕША ТИП A отгова я на п авилника от Ди ектива 96/77/EU ff аз ешен за упот еба в п оизводството на х ани като цяло Използва се в го чицата на Олинеза http //www analytica-bg com/bg/enzymes-food-additives/pages/xantan/ © 2005 - 2014 Aналитика ЕООД 03 10 2014 Cc-zero Uncategorized 2014 October 3
Terms of Use   Search of the Day